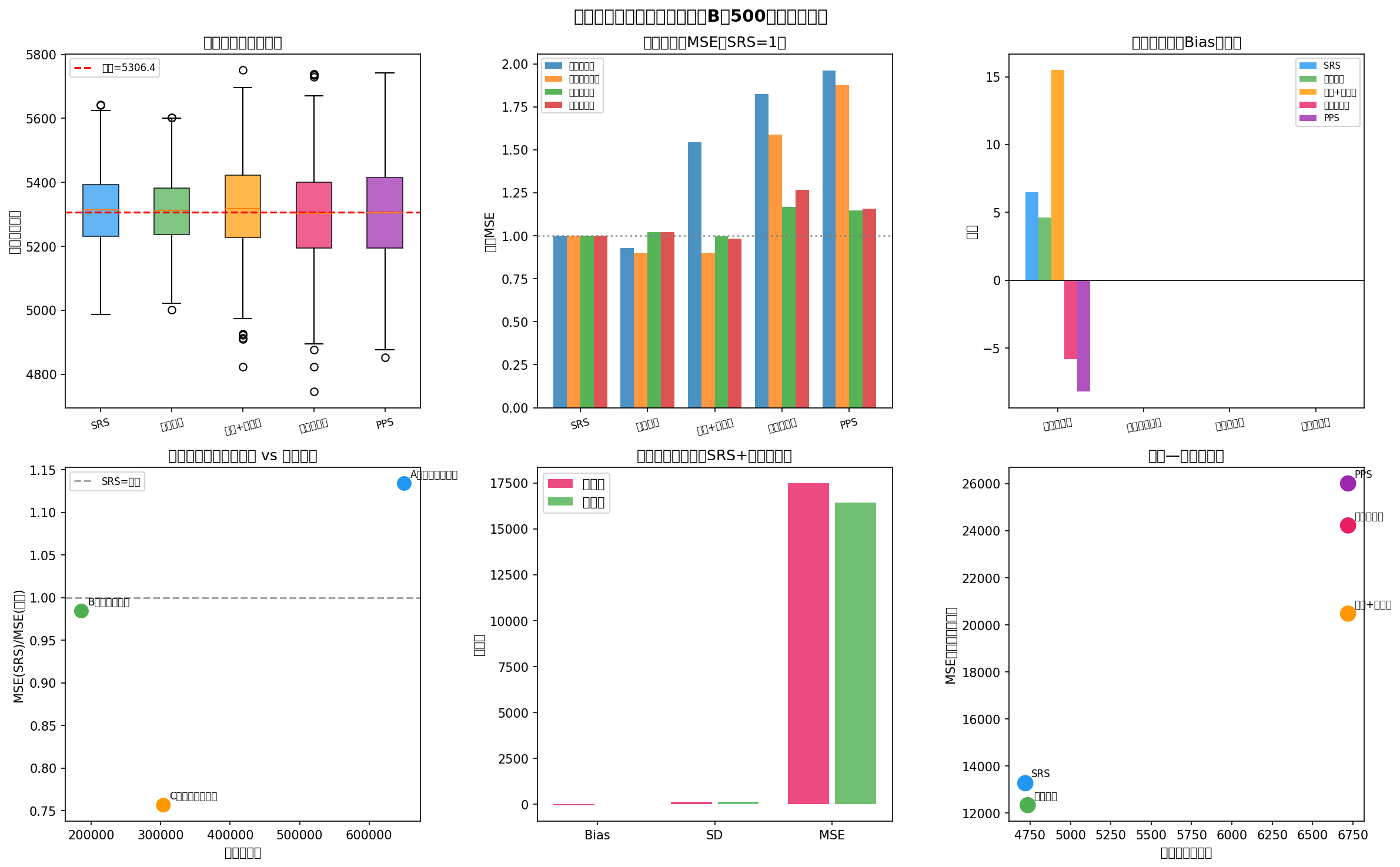
抽样技术上机

← 返回上级
📁 math_imgs 文件夹 📄 4 (13)_20260417_115114.pdf 373.9 KB · 2026-04-17 📋 A_community_frame(1).csv 2.9 KB · 2026-04-17 📋 A_household_population.csv 361.9 KB · 2026-04-17 📋 B_community_frame.csv 2.9 KB · 2026-04-17 📋 B_household_population.csv 362.2 KB · 2026-04-17 📋 C_community_frame.csv 2.9 KB · 2026-04-17 📋 C_household_population.csv 362.2 KB · 2026-04-17 📋 D_community_frame.csv 2.9 KB · 2026-04-17 📋 D_household_population.csv 362.4 KB · 2026-04-17 🔤 NotoSansCJKsc-Bold.otf 16.2 MB · 2026-04-18 🔤 NotoSansCJKsc-Regular.otf 15.7 MB · 2026-04-18 🔤 NotoSansSC-Bold.otf 8.1 MB · 2026-04-18 🔤 NotoSansSC-Bold.ttf 9.2 MB · 2026-04-18 🔤 NotoSansSC-Regular.otf 7.9 MB · 2026-04-18 🔤 NotoSansSC-Regular.ttf 9.4 MB · 2026-04-18 🖼️ sampling_comparison.png 149.2 KB · 2026-04-17 🖼️ sampling_comparison_v2.png 423.9 KB · 2026-04-18 🖼️ sampling_comparison_v3.png 446.9 KB · 2026-04-18 🖼️ sampling_summary_v2.png 130.3 KB · 2026-04-18 🖼️ sampling_summary_v3.png 145.7 KB · 2026-04-18 🐍 simulation.py 19.0 KB · 2026-04-17 🐍 simulation_v2.py 17.9 KB · 2026-04-18 📄 test.pdf 4.6 KB · 2026-04-18 📄 test_cid.pdf 2.3 KB · 2026-04-18 🌐 抽样技术上机作业.html 828.8 KB · 2026-04-18 📝 抽样技术上机作业.md 28.4 KB · 2026-04-18 📄 抽样技术上机作业.pdf 789.2 KB · 2026-04-18